کارمزد سبدگردانی براساس مقررات و مصوبات سازمان بورس و اوراق بهادار و قرارداد منعقد شده با مشتریان محاسبه میشود. فرمول پیشنهادی کارمزد توافقی است. کارمزد سبدگردانی معمولا از دو بخش کارمزد ثابت مدیریت و عملکرد تشکیل میشود. کارمزد مدیریت مبتنی بر اخذ کارمزد ثابت مختصر و براساس دارایی تحت مدیریت تعیین میشود. اما کارمزد عملکرد کاملا متغیر است
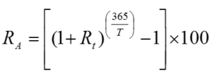
*میزان کارمزد مبتنی بر عملکرد سبدگردان در دوره های کمتر از یکسال می بایست به نسبت تعداد روزهای سپری شده از دوره، نسبت به یکسال (365 روز) محاسبه گردد.
* نحوه محاسبه بازدهی سبد اختصاصی (MWRR) مطابق پیوست 8 دستورالعمل تاسیس و فعالیت سبدگردان میباشد.
*بازدهی کمتر از یک سال از طریق فرمول زیر سالانه میشود:

